產品
全站
關於我們
關於我們
製造
品質
經營理念
品質政策
環安衛政策
最新消息
展覽
活動
技術資源
技術資訊
技術提示
產品符合性聲明書
新品目錄
新產品
聯絡我們
搜尋:
產品
全站
English
中文
日本語
插式閥
單向閥
2 孔
3孔與4孔
抗衡閥
3孔 非透氣型
3孔 非透氣型,不可調
3孔 透大氣型
無輔助導壓,3口插孔
4孔 透氣型
方向閥
2 通
3 通
4 通
濾網型插裝閥
流量控制閥
2 孔
3孔與4孔
分流/集流閥
手動泵浦
鎖入式閥件
負載控制閥
負載反應控制閥
全平衡型負載控制閥
邏輯閥
3 孔
4 孔
導壓級閥
氣導式
常閉
常開
比例放大器
減壓閥
減壓/洩壓閥
3 孔
4 孔
洩壓閥
2 孔
3 孔
4 孔
順序閥
2 孔
3 孔
4 孔
梭動閥
特殊閥
全部金屬元件不鏽鋼
單向閥
抗衡閥
流量控制閥
減壓閥
洩壓閥
順序閥
電磁閥
提動軸型電磁方向閥
常閉型
常開型
直動型提動軸 3口2位閥
防爆型線圈及磁管
滑軸型電磁方向閥
2口2位
3口2位
4口2位
4口3位
5口3位
6口2位
全部金屬元件不鏽鋼
比例閥
減壓閥
洩壓閥
2 孔
3 孔
4 孔
減洩壓閥
3 孔
4 孔
流量控制閥
2 孔
3 孔
4 孔
方向閥
邏輯閥
比例放大器
小型動力單元
W80 標準型系列
W81 小型系列
W82 登車橋系列
W83 高低壓雙泵浦特殊型系列
W84 高低壓雙泵浦標準型系列
W85 雙聯泵浦系列
W87 出油節流附卸載系列
TG-168 四軸尾門系列
WL-214 輪椅或貨物升降系列
SBT 系列
技術性資訊
閥塊
MH 積層式油路板
ISO 03
ISO 05
ISO 05-X Y
ISO 07
ISO 08
MK 積層蓋板式油路板
ISO 03
ISO 05
ML 標準配管式油路板
A 系列
E 系列
M 系列
W 系列
複合迴路系列
MM 油壓馬達直結油路板
電子元件
線圈
不含突波抑制器
內含突波抑制器
線圈使用注意事項
電氣插頭
位置感測開關
比例放大器
配件
插式閥輔助裝置
電磁方向閥附件
成型孔
成型孔塞頭
成型孔轉接頭
比例閥
選擇
減壓閥
洩壓閥
減洩壓閥
流量控制閥
方向閥
邏輯閥
比例放大器
選擇
2 孔
3 孔
4 孔
US Units
|
Metric Units
技術數據
產品描述
性能曲線圖
技術資訊
檔案
請留意:資訊可能會隨著配置變更,請見上方配置欄位
成型孔
8A-2
額定流量
0.26 gpm
1 L/min
最大流量
0.53 gpm
2 L/min
額定壓力
5000 psi
350 bar
插式閥外六角邊尺寸
7/8 in.
22.22 mm
插式閥安裝扭矩
20 - 24 lbf-ft
27 - 33 Nm
回座時最大內漏量約
25 cc/min.
回座壓
高於設定壓的85%
輸入DC信號時遲滯
< 8%
帶顫抖信號時遲滯
< 4%
帶顫抖信號時的線性
< 2%
顫抖頻率
100 - 250 Hz(建議顫抖頻率140 - 200 Hz)
線圈
EC-16B
重量
0.29 lbs(不含線圈)
0.13 kg(不含線圈)
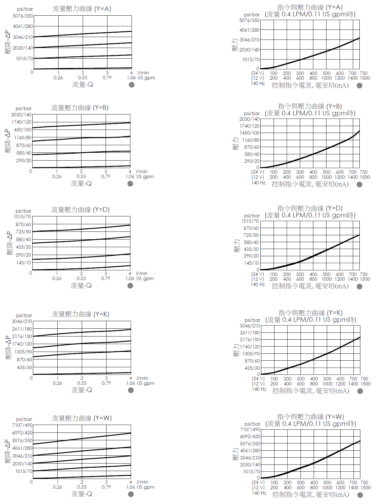
此閥為直動型、提動軸結構、導壓級比例洩壓閥。閥件在彈簧壓力下關閉至最高壓力設定。增加供給線圈的電流會按比例增加壓力設定。當口1的壓力超過電磁力(由類比輸入信號決定)時,推起提動軸以允許從口1到口2的流動。此閥的主閥使用
8A-2成型孔
,可搭配Winner各種系列的壓力控制閥件廣泛運用
復位時的最大內漏量約為25 cc/分鐘。
復位壓力高於開啟壓力的85%。
回油口(口2)的背壓以1:1的比例直接加到閥件設定上。
為獲得最佳性能,建議用電流感應和帶顫抖功能的放大器,顫抖頻率應在100 - 250 Hz之間調整(建議顫抖頻率140 - 200 Hz)。
如果需要超出指定範圍的壓力控制,請與我們聯繫。
連續工作額定線圈。
高效率、穩定的磁管內部壓力平衡設計。
作動零件經過熱處理和高精密度研磨以增加硬度,從而延長使用壽命。
適合不同應用的各種密封件材料,請參閱技術參考下的密封件資訊。
Winner插式閥壓力等級經過測試,符合NFPA規範T2.6.1標準,疲勞等級中的保證和驗證等級為"90/90"。
WINNERcoat
®
鋅鎳鍍層根據DIN EN ISO 9227進行了長達1000小時的鹽霧測試。
Winner保證所有產品在出貨前都經過100%的功能測試。
技術資訊:
液壓油黏度
液壓油清潔度
液壓油溫度
Winner線圈使用注意事項
插式閥保證資訊
技術數據聲明
疲勞及爆破壓力測試標準
節流孔 vs. 壓降曲線圖
閥件於鑄鐵油路板組裝及拆卸要點
管路內徑計算
油封資訊:
兩種方式訂購"油封修理包"
插式閥油封材質選配
PDF檔
PRB8A2C-N.STEP
PRB8A2C-P.STEP
無現貨,
預訂請留言
首頁
產品介紹
比例閥
洩壓閥
2 孔
順向直動型,無電流輸入時低壓力