検索:
製品
サイト全体
会社案内
会社概要
製造
品質主張
事業理念
品質方針
環境安全衛生方針
ニュース
Exposition
Events
技術リソース
Technical Information
Technical Tips
Declaration of Conformity
新製品
新製品
お問い合わせ
検索:
製品
サイト全体
English
中文
日本語
カートリッジ弁
チェック弁
2ポート
3ポートと4ポート
カウンタバランス弁
3 Port Non-Vented
3 Port Non-Vented Fixed Setting
3 Port, Atmospherically Referenced
Without Pilot Assist 3 Port Cavity
4 Port, Vented
方向制御弁
2-way
3-way
4-way
ストレーナ式カートリッジバルブ
流量制御弁
2ポート
3ポートと4ポート
分流・分集流弁
ハンドホンプ
締めつけタイプ バルブ
ロード コントローラ ロード リーアクチブ
Load Reactive Load Control
Fully Balanced Load Control
ロジック弁
3ポート
4ポート
パイロットステージバルブ
空気制御
ノーマルクローズ
ノーマルオープン
比例増幅
減圧弁(レデューシング弁)
減圧/圧力リリーフバルブ
3 Ports
4 Ports
圧力リリーフバルブ
2 Ports
3 Ports
4 Ports
シーケンス弁
2 Ports
3 Ports
4 Ports
シャトル弁
特殊バルブ
金属部品は全てステンレス製
チェック弁
カウンタバランス弁
流量制御弁
減圧弁(レデューシング弁)
リリーフ弁
シーケンス弁
電磁弁
ポペットソレノイド式
ノーマルクローズ
ノーマルオープン
直動ポベット3方向2位置
爆発防止用コイルとチューブ
方向電磁弁ポッペトタイプ
Spool 2-Way 2-Position
Spool 3-Way 2-Position
Spool 4-Way 2-Position
Spool 4-Way 3-Position
Spool 5-Way 3-Position
Spool 6-Way 2-Position
金属部品は全てステンレス製
比例弁
減圧弁
リリーフ弁
2 Ports
3 Ports
4 Ports
減圧 ∕ リリーフ弁
3 Ports
4 Ports
流量制御弁
2 Ports
3 Ports
4 Ports
方向制御弁
ロジック弁
比例増幅
小型パワーユニット
W80 標準シリーズ
W81 小型シリーズ
W82 ドークレべラー シリーズ
W83 高低圧ダブルポンプ(特別)
W84 高低圧ダブルポンプ(標準)
W85 デュプレックスポンプシリーズ
W87 標準 マニホールド シリーズ
TG-168テールゲート シリーズ
WL-214 車椅子 或いは カーゴ シリーズ
SBT シリーズ
技術情報
マニホールド
MH サンドイッチ
ISO 03
ISO 05
ISO 05-X Y
ISO 07
ISO 08
MK カバー式マニーホルダー
ISO 03
ISO 05
ML 標準配管式マニーホルダー
A シリーズ
E シリーズ
M シリーズ
W シリーズ
複合回路シリーズ
MM 油圧モーター直結マニーホルダー
電子部品
コイル
Without TVS Diodes
With TVS Diodes
Winner Coil Using Notice
コンネックター
ポジションスイッチ
比例増幅
付属品
カトリジ弁オプション
電磁弁オプション
フォーミングホール
成形穴プラグ
変換アダプター
比例弁
選択
減圧弁
リリーフ弁
減圧 ∕ リリーフ弁
流量制御弁
方向制御弁
ロジック弁
比例増幅
選択
2 Ports
3 Ports
4 Ports
US Units
|
Metric Units
技術データ
製品説明
性能曲線
技術リファレンス
ファイル
Note: Data may vary by configuration. See CONFIGURATION section.
Cavity
8A-2
Rated Flow
0.26 gpm
1 L/min
Maximum Flow
0.53 gpm
2 L/min
Maximum Operating Pressure
5000 psi
350 bar
Valve Hex Size
7/8 in.
22.22 mm
Valve Installation Torque
20 - 24 lbf-ft
27 - 33 Nm
Adjustment Screw Internal Hex Size
3.17 mm
1/8 in.
Locknut Hex Size
1/2 in.
12.7 mm
Locknut Torque
2 - 4 lbf-ft
3 - 5 Nm
Maximum Valve Leakage at Reseat Approximately
25 cc/min.
Reseat
exceed 85% of cracking pressure
Hysteresis with DC input
< 8%
Hysteresis with dither
< 4%
Linearity with dither
< 2%
Dither Frequency
100 - 250 Hz (recommended range: 140 - 200 Hz)
Coil type
EC-19A
Weight
0.44 lbs (without coil)
0.2 kg (without coill)
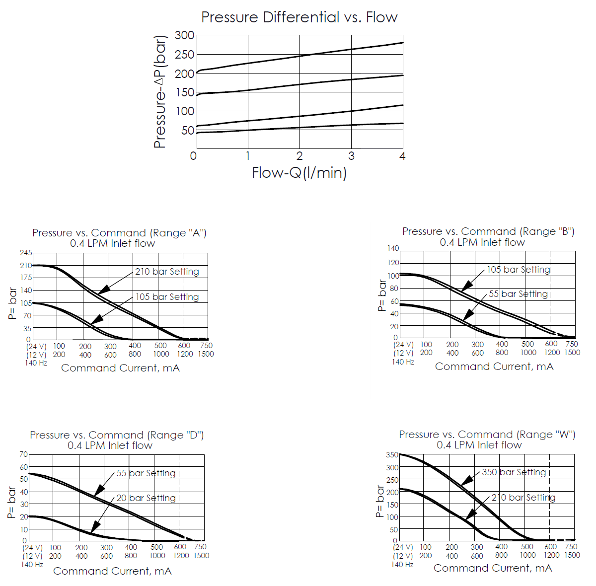
This is an inverse direct-acting, poppet-type, pilot capacity proportional relief valve. The valve is spring biased closed to the highest pressure setting. Increasing the current supplied to the coil will proportionally decrease the pressure setting. The poppet will lift to allow flow from port 1 to port 2 when the pressure at port 1 overcome the spring force minus the solenoid force, as determined by the analog input signal. The main stage of this valve is
8A-2 control cavity
, which can be paired with various Winner 8A-2 pressure control cartridge valves for a wide range of applications.
The maximum leakage at reseat is approximately 25 cc/min.
Reseat pressure exceeds 85% of cracking pressure.
Back pressure at the tank port (port 2) is directly added to the valve setting at a 1:1 ratio.
To achieve optimal performance, it is recommended to use a current-sensing amplifier with a dither function. The dither frequency should be adjustable between 100 Hz and 250 Hz (recommended range: 140 - 200 Hz).
High pressure setting with no command.
The factory pressure setting is configured for use with the main valve RV-11A-*-C-L.
In order to meet the pressure requirements and reduce setting inaccuracy, please contact the Winner sales department if you need a pressure setting and specify the main valve you intend to use.
If you do not specify a pressure setting, Winner will set the pressure according to the following factory defaults. You can then make slight adjustments as needed.
PRA8A2DA series (210 - 105 bar): factory setting is 140 -145 bar (at 0.4 LPM).
PRA8A2DB series (105 - 55 bar): factory setting is 70 - 75 bar (at 0.4 LPM).
PRA8A2DD series (55 - 20 bar): factory setting is 28 - 30 bar (at 0.4 LPM).
PRA8A2DW series (350 - 210 bar): factory setting is 210 - 215 bar (at 0.4 LPM).
Special Note: When adjusting the pressure yourself, it is crucial to ensure the value remains within the acceptable pressure range. This is especially important when decreasing the pressure (by turning the screw counterclockwise). Turning the screw counterclockwise beyond the acceptable pressure range may cause oil leakage from the adjustment screw.
Please contact us if pressure control beyond the specified range is required.
Continuous-duty rated coil.
Efficient wet-armature construction.
Working parts are heat-treated and high-precision ground to increase hardness for long life.
A variety of seal kit materials for different applications, see seals information under Technical Reference.
Winner's cartridges pressure rating tested to the standard of the NFPA specification T2.6.1 and the fatigue rating's assurance and verification level is “90/90”.
WINNERcoat
®
Zinc-Nickel Plating is salt spray tested in accordance with DIN EN ISO 9227 for up to 1000 hours.
Winner guarantees that all products performance a 100% functional test before shipment.
Technical Information:
Hydraulic Fluid Viscosity
Hydraulic Fluid Cleanliness
Hydraulic Fluid Temperature
Cartridge Valve Warranty Information
Technical Data Statement
Fatigue and Burst Pressure Test Standard
Orifice vs. Pressure Drop Curves Chart
Note of Valves Assembling and Disassembling in Ductile Manifolds
Calculate of Pipe Diameter
Seals Information:
Two Ways to Order "Seal Kits"
Cartridge Valve Seal Material Configuration
PDF ファイル
PRA8A2D-L-74.STEP
Out of stock.,
お問い合わせ
ホーム
製品情報
比例弁
リリーフ弁
2 Ports
Inverse direct-acting, high pressure setting with no command